May 10, 2016
Michael G. Noppe
Abstract – Fundamentals of the nonlinear theory of Fabry-Perot semiconductor lasers have been developed, an integral part of which is the natural linewidth theory. The formula for gain depending on the energy flux specifies the basic nonlinear effect in a laser. Necessary conditions for stimulated emission of the first and second kind are presented. Maxwell's equations in the gain medium are used to obtain equations for energy flux and for non-linear phase effect description. Based on nonlinear theory, it was simulated set of experiments, indicating that developed nonlinear theory is a new paradigm of laser theory. The nonlinear theory has provided recommendations for the development of lasers with improved properties, such as lasers with increased power and lasers with reduced natural linewidth.
Index Terms – semiconductor lasers, natural linewidth, nonlinear theory
LASER theory of Fabry-Perot (FP) semiconductor lasers proves to be nonlinear, since the gain [1], the refractive index [2] and the loss coefficient [3] are the functions of energy flux.
The basic points discussed in the book “On Fundamentals of Nonlinear Theory for Semiconductor Lasers” are as follows:
Maxwell's equations describe the field for passive medium and cannot be used in describing the field in laser and quantum amplifier. In book, phenomenological equations are derived for electromagnetic field in the gain medium, i.e. Maxwell's equations for the gain medium, and Poynting theorem for these equations [4, 1]. Maxwell's equations in the gain medium are used to obtain equations for energy flux, and to describe nonlinear phase effect [1].
![]()
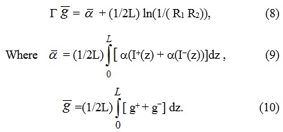
where we have defined
as a specific gain factor;
is specific conductivity that describes incoherent losses (for example, on free electrons). Other Maxwell's equations are used unchanged.
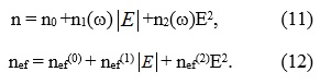
![]()
Poynting theorem follows from (1)-(3):
where S is Pointing vector; V=sz, 0 <z<L, where s is cross section (to axis z) of active laser medium.
Equations for energy flux follow from (4):
![]()
where I is the energy flux; s is sectional area of the active zone of the laser;
is confinement factor;
is absorption factor in active zone;
is absorption factor outside active zone;
is losses due to incoherent scattering,
is two-photon absorption factor [3], and
. From (5)-(7) the formula follows:
![]()
Theory of natural linewidth in semiconductor lasers has been developed, it follows that refractive index n in FP lasers [2] and effective refractive index nef in DFB lasers [6] are the functions of E:
![]()
The formulas for the line shape in FP and in DFB lasers were derived. These formulas for the line shape are similar and have the following form:
![]()
where D0 , D1 , D2 have different form for FP and for DFB lasers [7,8]. Let us write the natural linewidth
[7,8]
![]()
where T(Aq(mW)/P(c)+B) is the bridge function;
and P(c) are characteristic linewidth and characteristic laser power; k is characteristic parameter of laser nonlinearity; q is non-dimensional inverse power:
![]()
Created theory makes it possible to simulate the majority published experiments on the measurement of the natural linewidth in Fabry-Perot lasers and distributed feedback DFB lasers [5-8] with help of two methods (using (13) and (15)).
Based on the formula derived for the line shape [5], we have simulated 12 experiments on measuring the natural linewidth in Fabry-Perot lasers (for example see Fig.1) and 15 experiments in DFB lasers [6].
Based on the formula derived for the linewidth [7], we have simulated 15 experiments on measuring the natural linewidth in Fabry-Perot lasers [7] and 15 experiments in DFB lasers [8]. The derived formula for line shape of radiation (of FP lasers [5] and DFB lasers [6]) is distinguished from Lorentz line formula and it is presented in figure into [9].
The theory of natural linewidth in semiconductor lasers has an independent significance. At the same time, the developed theory is an integral part of the nonlinear theory of lasers, and its concepts and the introduced characteristic parameters are used in all parts of the nonlinear theory.
![]()
Figure.1. Simulating experimental curve [14] of the natural lin-ewidth of Fabry-Perot semiconductor lasers as functions of in-verse output power (1/ ) (Ke, where K=14) by theoretical curve (1/ ) [5] (Kt, where K=14).
Using the density matrix equations with relaxation, the following derivations have been made: Einstein’s spectral coefficient in a semiconductor laser and, accordingly, Einstein’s coefficient [10 ,1]; formula for the saturation effect in a semiconductor laser was derived; it was shown that the saturation effect in a semiconductor laser is small [1].
Gain in a semiconductor laser has been derived using the density matrix equations with relaxation [1]. It has been found that Fabry-Perot laser gain depends on energy flux, and this determines the ‘basic nonlinear effect’ in a semiconductor laser
![]()
where
is Einstein coefficient for induced transition between the two levels when exposed to a narrow-band wave is written in the following form [10]:
![]()
where
is effective natural linewidth; I is the energy flux;
is spectral density of transitions
5. Necessary conditions for induced radiation of the 1st and 2nd kind have been defined in [1]. Necessary conditions for induced radiation are determined by the requirement for the gain to be greater than zero. Necessary condition for induced radiation of the 1st kind formulated by Bernard and Duraffourg [12] is that the population of levels located above becomes more than the population of levels located below
f2(E2)>f1(E1). (19)
The necessary condition of induced radiation of the 2nd kind formulated by Noppe [1] is that:
![]()
The necessary condition of induced radiation of the 2nd kind allows formulating the basic restriction of laser capacity [1], which has been confirmed experimentally:
I < I(M), (21)
where I is energy flux; I(M) is the characteristic parameter of ultimate power. Figure 2 shows the function g(I) for two sets of characteristic parameters
![]()
Figure.2. Functions g1(I) and g2(I) versus energy flux I for two sets of characteristic parameters (in [1]).
![]()
Figure 3. Wavelength shift
(theoretical [1] and experimental [13]) versus normalized current (J/Jth)
6. Maxwell's equations in the gain medium are used to obtain equations for energy flux [1]. Nonlinear phase effect has been described [1], using the nonlinearity of refractive index [2] (see Fig.3.).
7. Based on the developed theory, experimental output characteristics have been simulated: natural linewidth (see simulation in [5,7]), experimental watt - ampere characteristics [11] (see fig.3), and dependence of experimental output radiation line length on the current in Fabry-Perot semiconductor injection lasers [13] (see fig.4), as well as linewidth in DFB lasers (see simulation in [6,8]).
![]()
Figure 4. Experimental [11] and theoretical [1] output power versus current for a powerful laser.
8. On the basis of the nonlinear theory, recommenda-tions have been made for the development of lasers with smaller natural linewidth and lasers with higher output power [1].
CONCLUSION
Based on the solution of the density matrix equations, Einstein coefficient for induced transition has been derived; it has been shown that the saturation effect is small for semiconductor lasers [1]. The formula of gain depending on the energy flux has been derived; it is the basic nonlinear effect in a laser. It has been stated that the main effect resulting in nonlinearity is the saturation effect [1]. For semiconductor lasers, the saturation effect is negligible. We derived the gain g for a Fabry-Perot semiconductor laser based on the density matrix equations and expressions for the natural linewidth [1]. Thus, the linewidth theory [5,7] is an integral part of the nonlinear theory. The resulting dependence of g on the energy flux has been called the main nonlinear effect in semiconductor lasers [1]; derivation of this relation formula is presented in [1].
Experimental wavelength shift versus normalized current (J/Jth), and the output power versus current have been simulated for a high-power laser with a quantum well of intrinsic semiconductor. Broadening of the states density due to different effects has been taken into consideration. The nonlinear theory made it possible to explain a number of experiments some of which could not even be explained (for example, natural linewidth), much less modeled, on
the basis of other theoretical models; this suggests that the nonlinear theory developed is a new paradigm of the laser theory. Due to the nonlinear theory development, recommendations can be given for creating lasers with smaller natural linewidth, and lasers with higher output power.
REFERENCES
[1] Noppe M G On Nonlinear Theory for Semiconductor Lasers. 2016 Laser Phys. 26 055004 (doi:10.1088/1054-660X/26/5/055004)
[2] Partovi and E.M.Garmire, J. Appl.Phys, 69, 6885 (1991).
[3] Said A A et al. Opt. Soc. Am. B 1992 9 405
[4] Noppe M G On nonlinear refraction in semiconductor lasers; simulation of experiment, of Mod. Opt. 2004 51 153
[5] G. Noppe, The Natural Linewidth of Fabry-Perot Semiconductor Lasers Laser Phys., 24, 125006 (2014). DOI:10.1088/1054-660X/24/12/125006
[6] Noppe M G. On natural linewidth of distributed feedback lasers; simulation of experiments// In Proc. XII Intern. Confer. (APEIE – 2014)- v.1, pp. 456 - 460)
[7] Noppe M G. On formula for natural linewidth in Fabry-Perot lasers; simulation of experiments// In Proc. XII Intern. Confer. (APEIE – 2014)- v.1, pp. 472 - 477)
[8] Noppe M G On formula for natural linewidth in distributed feedback lasers; simulation of experiments// In Proc. XII Intern. Confer. (APEIE – 2014)- v.1, pp. 461 -467
[9] Noppe M.G. On the Line Form and Natural Linewidth; Simulation and Interpretation of Experiments. //In Proc. XII Intern. Confer. (NUSOD-2012), 123.
[10] Noppe M. G. The Resonance and Nonresonance Coefficients of Stimulated Transitions for a System with Relaxation, Technical Physics Letters 2000, V. 26, 10-11
[11] Andreev, A.Yu., et al. Semiconductors, 2009, 43 543-547
[12] Bernard M.G., Duraffourg G. 1961 Phys. Status Solidi 127 699
[13] Ito M, Kimura T 1980 IEEE J. QE 16 910
[14] Elsasser W., Gobel E.O., Kuhl J., IEEE JQE, 1983, 19,
Vote for monograph of M.G. Noppe “Fundamentals of nonlinear theory for semiconductor lasers”
1) World competition "Create the Future - 2016 is Declared.
2) The purpose of the contest - to share their innovations with the world.2) I took part in the contest "Create the Future - 2016" - I filed a monograph "Fundamentals of Nonlinear Theory of Semiconductor Lasers".
3) The competition allows the popular vote so I ask you and your colleagues to vote for monograph by going to the site http://contest.techbriefs.com/2016/entries/electronics/6471
